时间:2020-07-13
1.稳态光谱辐射率测量系统
对于光学参数的测量可以通过在体(in vivo)和离体(in vitro)两种方式进行。其中,离体检测方式属于有创的组织病理检测方法,虽然该方法在临床上易于实现,但是离体组织的光学参数受到多方面因素的影响如冰冻状态、组织体的厚度、测量技术的影响。
空间分辨的表面反射率测量技术是目前最常用的光学参数在体测量方法,已广泛应用于生物组织如皮肤的光学参数、血氧饱和度和血红蛋白浓度等的无创测量中。但是,空间分辨的表面反射率测量技术的实际应用则受到光学穿透深度低的限制(<10 mm),不适用于内部组织如前列腺、胰腺等的光学参数测量。在这种情况下,通常需要将光源光纤-探测光纤以光学探针模式或者导管辅助形式插入至生物组织体内部,以间质测量方式(interstitial measurement)获取组织体的光学参数。
稳态辐射率测量技术能在固定源探距离下测量来自不同方向的光强,近来作为一种微创检测方法被应用到前列腺等内部组织的光学参数
间质测量当中。与传统的稳态光通量测量方法相比,由于辐射率测量方法可以在固定源探距离下获得额外的角度信息,因此实际上稳态辐射率测量方法与频域和时域测量方法更加类似,即除了能够获得光强幅值信息外还可以获得更多其他的物理量信息。
基于光谱及稳态辐射率测量系统主要由一个耦合到卤钨灯光源的球形光纤和连接到光谱仪上的侧照光纤组成,球形光纤可以实现三维上的移动,侧照光纤可以自转360°,卤钨灯光源光谱范围为200~1100nm,光谱仪的光谱范围600~1000nm。球形光源模拟点光源,在固定的源探距离下,侧照光纤可以旋转360°得到角度辐射率。

图1 基于稳态光谱辐射率测量系统结构示意图

图2 基于稳态光谱辐射率测量系统实物图
2、稳态辐射率的残缺P3近似方法
点光源模型无限媒质中辐射率的P3近似的表达式为:

其中,r是源探距离;
,其中
为光子方向,
为光子位置方向向量;S0为光源;Pl为l阶勒让德多项式。Ql(x)为l阶修正的第二类球谐贝塞尔函数。v-和v+分别为渐近衰减系数和瞬时衰减系数。
在传统的辐射率P3近似即公式中,有两部分组成。其中与hl(v-)Ql(-v- r)相关的部分称作渐进解部分,与hl(v+)Ql(-v+ r)相关的部分称作瞬时解部分。在瞬时解中,由于瞬时衰减系数v+的值较大,修正的第二类球谐贝塞尔函数Ql(-v+ r)将会随着r的增大迅速衰减为0,进而瞬时解也趋于0。实际上瞬时解仅在源探距离小于
时,对完全解有贡献。在渐进解中,由于渐进衰减系数v-的值较小,Ql(-v- r)随着r的增加衰减速度缓慢,因而在较大的源探距离下(如大于
),完全解主要的贡献来自于渐进解。
以此为依据,提出一种辐射率的残缺P3近似(incomplete P3, P3in)模型,该模型为传统P3近似的渐进解部分。在源探距离大于
时,残缺P3可以代替完全P3近似作为描述光子传输的模型用以反构光学参数。将残缺P3近似的渐近衰减系数v-简写为v(3),将hl(v-)简写为hl(3),则残缺P3表达式如下:


图3 在不同角度(0° - 180°)、不同源探距离(5mm - 10mm)下,残缺P3近似与传统P3近似在光学参数ua(0.01mm-1 - 0.5mm-1)、us’(0.5mm-1 - 4.5mm-1)范围内的最大差异值
残缺P3近似与传统的P3近似相比,其表达形式更为简洁。与DA近似相比,能够更准确地描述光子在组织体中的传输。残缺P3模型的提出,为构建光学参数反构的解析表达式提供了基础。
3、基于残缺P3近似的光学参数求解方法
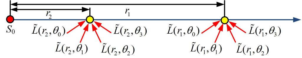
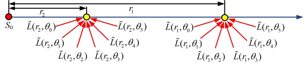
基于辐射率残缺P3近似模型,利用若干辐射率测量值构建吸收系数、约化散射系数的代数表达式。辐射率的测量模型如图8所示。

图4两个源探距离、每个源探距离四个角度下辐射率测量示意图
若与光学参数相关的h1(3)、h2(3)及渐进衰减系数v(3)已知,则吸收系数及约化散射系数也可以被确定,光学参数的反构转化为h1(3)、h2(3)和v(3)的求解。
(1)辐射率勒让德矩有关项求解
为了确定h1(3)、h2(3)和v(3),首先需要求解包含这些参数的辐射率勒让德矩与光源乘积项。由于S0Φl(3)(r)仅是简单的线性叠加,叠加系数为[(2l+1)Pl(cosθ)]/4π,因此可以通过如图8所示的固定源探距离r1、四个不同角度θ0、θ1、θ2和θ3下的辐射率测量来确定[(2l+1)Pl(cosθ)]/4π,进而通过求解线性方程组的方法来求解S0Φl(3)(r)。
(2)光学参数有关的中间变量求解
从已确定的S0Φl(3)(r), l = 0,1,2项,进一步求解与光学参数有关的中间变量h1(3)、h2(3)和v(3)。为了避免绝对测量,需要两个源探距离下的辐射率测量来除光源项,并进行展开,从而构建求解渐近衰减系数v(3)的表达式:

为了获得h1(3)、h2(3),构建Ml(r1,θ0,θ1,θ2,θ3),l = 1,2与M0(r1,θ0,θ1,θ2,θ3)之间的比值,

第二类球谐贝塞尔函数仅与渐近衰减系数v(3)及测量时所用的源探距离r相关,r为已知量,而v(3)可由公式计算,因此Ql(-v(3)(r))可以确定。考虑h0(3)=1,可以得到h1(3)和h2(3):

(3)吸收系数和约化散射系数的求解
吸收系数与约化散射系数的求解表达式:


图5 典型散射情况下基于扩散近似和残缺P3近似方法的光学参数反构值及相对误差。(a)和(b)为反构值,(c)和(d)为相对误差

图6 小散射情况下基于扩散近似和残缺P3近似方法的光学参数反构值及相对误差。(a)和(b)为反构值,(c)和(d)为相对误差
(4)光学参数解析反构方法的优点
1. 和传统的拟合算法相比,该方法不需要大量的实验测量数据进行拟合求解光学参数。
2. 和传统的基于光通量测量方法相比较,该方法不需要进行绝对测量。
3. 该方法仅需要在两个源探距离,每个距离四个角度下的辐射率测量值,用于直接解析计算。
4、基于稳态辐射率残缺P5近似的全光学参数同时反构
则全光学参数吸收系数、散射系数和各向异性因子可以通过有效衰减系数v(5)、h1(5)、h2(5)和h3(5)进行计算,如下:

全光学参数的反构转化为从辐射率测量值中抽取v(5)、h1(5)、h2(5)和h3(5)的问题。提出了基于残缺P5近似及两个源探距离、每个源探距离六个角度下的辐射率测量值全光学参数(μa、μs和g)的解析反构方法。

图7两个源探距离、每个源探距离六个角度下辐射率测量示意图
图7显示的是两个源探距离下、每个源探距离六个角度下辐射率测量的物理模型。

图8 基于辐射率残缺P5近似的全光学参数反构流程图

图9 在500 nm~850 nm波长范围内,利用残缺P3、残缺P5方法的全光学参数反构值。(a)为吸收系数反构值,(b)为散射系数反构值,(c)为各向异性因子g反构值
发表的主要论文:
1. Liu Lingling, Wan Wenbo, Li Jiao, Zhao Huijuan and Gao Feng. Simultaneous recovery of a full set of optical properties in turbid media using incomplete P5 approximation to CW radiance[J]. Optics letters, 2018, 43(17): 4188-4191.
2. Liu Lingling, Wan Wenbo, Qin Zhuanping, Zhang Limin, Jiang Jingying, Wang Yihan, Gao Feng, and Zhao Huijuan. Determination of optical properties of tur-bid medium from relative interstitial CW radiance measurements using the in-complete P3 approximation[J]. Optics express, 2017, 25(21): 25295-25309.
3. 刘玲玲,李晨曦,万文博,蒋景英,贾梦宇,张丽敏,高峰,赵会娟. 无限介质中近场辐射率的P5近似[J]. 光子学报, 2015, 45(2): 217001.
4. 赵会娟,刘玲玲,刘明,武林会,王媛,贾梦宇,高峰. 基于B样条参数化描述的形状扩散光学层析成像方法[J]. 天津大学学报, 2016, 49(1):46-51.